
Train smarter, not harder

Rückenschwimmen
Velocity Variability and Performance in Backstroke in Elite and Good-Level Swimmers
In aller Kürze: Der Geschwindigkeitsverlauf innerhalb eines Bewegungszyklus (Armzug) wurde für SchwimmerInnen zweier Leistungsniveaus untersucht.
Hierbei zeigte sich, dass Elite-Athleten in der Lage sind, über einen längeren Zeitraum Vortrieb zu generieren. Dies geschieht durch eine größere Körperrotation und einen deutlicher ausgeführten 2nd upsweep. Der Geschwindig-keitsverlauf innerhalb eines Zyklus ist bei Elite-Athleten gleichmäßiger und somit effizienter.
Da sich Elite-Athleten besser an die sich stetig ändernden Umweltbedingungen anpassen, zeigen sie ein komplexeres und weniger reproduzierbares Bewegungsmuster.
Folge 112
Ernährung
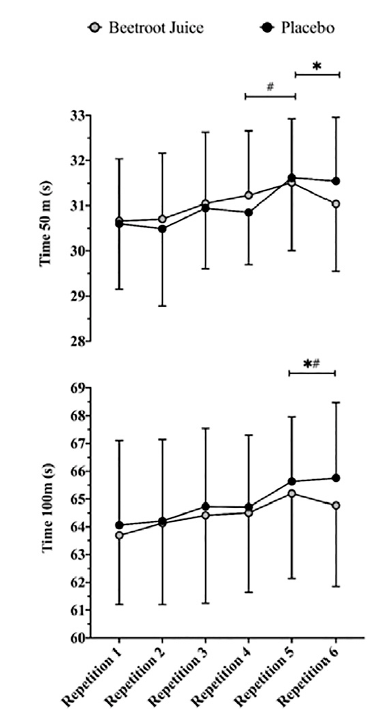
Effects of beetroot juice intake on repeated performance of competitive swimmers
In aller Kürze: Rote Bete hat eine hohe Konzentration anorganischer Nitrate. Diese erweitern die Blutgefäße und fördern die Durchblutung von u.a. der Muskulatur. Dies gilt besonders für Typ II Muskelfasern.
Im Test über 6x100m Kraul mit maximaler Intensität konnte kein signifkanter Effekt zwischen der Placebo Gruppe und dem rote Bete Saft nachgewiesen werden.
Aber: Die Placebo Gruppe war in allen 100m Durchgängen langsamer als die Rote Bete Gruppe. Dies führte für die Rote Bete Gruppe zu einem höheren Laktatwert im letzten Durchgang.
Die Forschenden spekulieren, dass ein Effekt auf die Leistung erst bei bei länger fristiger Anwendung einsetzt.
Folge 112




Bild: Swimcast
Kraul, Pacing, Renneinteilung
How do swimmers pace the 400 m freestyle and what affects the pacing
In aller Kürze: Die 400m Freistil haben sich in den vergangenen Jahren extrem weiter entwickelt. Die Leistungen der 24 besten Performer lt. FINA Bestenliste wurden analysiert und in Zusammenhang mit der 200m Zeit Einzelzeit und 200m Splitzeit gebracht.
Auf Basis des Verhätnisses beider 200m Zeiten kann der Trainingsbedarf erkannt werden.
Liegen beide Zeiten nah beieinander, so ist das Ausdauerniveau gut ausgeprägt, aber die anaerobe Energiebereitstellung ausbaufähig.
Liegen die Zeiten weit auseinander, so muss am Ausdauerniveau gearbeitet werden.
Im Mittel unterscheiden sich beide Zeiten um 4,5%.
Folge 109
Erwärmung, Warm-Up
In aller Kürze: Die Forschenden haben untersucht, wie die Schwimmzeit von der Pause zwischen Erwärmung und Time-Trial abhängt.
Es scheint, als sei die optimale Zeit 30 Minuten. In dieser Zeit sollten sich die SchwimmerInnen aktiv warm halten. In diesem Falle bei 30% der maximalen Herzfrequenz und Übungen wie Dehnung, Laufen, Athletik.
Folge 111


Recovery, Erholung
Cold water immersion for a faster recovery
In aller Kürze: Das Eisbad (Cold water immersion) hat sich inzwischen als Hilfe zur schnelleren Regeneration fest etabliert. Aber ist mehr dran, als nur anekdotische Evidenz?
Durchaus – denn nach einem all-out Test sinkt der Laktatspiegel im Blut erheblich schneller bei der Anwendung des Eisbades.
Folge 103
Training, Jugendliche, Kraul
In aller Kürze: Welche Veränderungen (physiologisch, kinematisch) sorgen für Leistungssprünge bei SchwimmerInnen, die maximal 12 Jahre alt sind?
19 SchwimmerInnen wurden über eine Saison hinweg in ihrer 200m Kraul Leistung getestet. Dabei wurden die Faktoren Zyklusfrequenz, Zykluslänge und Stroke-Index als maßgebende Faktoren für die Leistungssteigerung entdeckt. Die körperliche Veränderung (Wachstum) war NICHT verantwortlich für die Verbesserungen.
Gleichwohl erzielten die größten SportlerInnen die besten Ergebnisse.
Folge 105


Temperatur, Physiologie
In aller Kürze: Der Einfluss der Wassertem-peratur auf die Leistung, Herzfrequenz und Laktatbildung bei maximaler und submaximaler Intensität wurde untersucht.
Bei maximaler Intensität führt warmes Wasser (32°C) zur höchsten Herzfrequenz und Laktat-konzentration, aber auch zur besten Leistung. Bei submaximaler Intensität war lediglich die Frequenz temperaturabhängig.
Folge 99
Muskeln, Sprint, Ausdauer
The Muscle Typology of Elite and World-Class Swimmers
In aller Kürze: Ziel der Studie war es, 73 SchwimmerInnen anhand der Muskelfasern hinsichtliche Streckenlänge, Schwimmart oder Leistungsniveau zu unterscheiden.
Zwischen den Sprintern, Mittel- und Langstrecklerngab es hinsichtlich der Muskelfasern KEINE Unterschiede.
Sprinter von Weltniveau besaßen allerdings eine höher Anzahl Typ-II Fasern als Elite-Sprinter.
Gleiches gilt für Brustschwimmer im Vergleich mit den anderen Schwimmarten.
Folge 100
Psyche
Correction of negative attitudes of athletes swimmers
In aller Kürze: Eine perfektionistische Einstellung begünstigt die Entwicklung von Opferrollen. Damit einhergeht die Einstellung, dass der Erfolg nicht in den eigenen Händen liegt.
In dem Paper werden Leitsätze fomruliert, um diesen Vorstellungen entgegen zu wirken.
Folge 96
Psyche
Psychological effects of 50-meter swimming: Does tempo manipluation matters?
In aller Kürze: In dieser Studie wurde untersucht, wie sich die Stimmung nach 50m Schwimmen verändert. Die grundsätzliche Stimmungslage verbessert sich bei den Teilnehmenden bereits nach 50 Metern.
Folge 98
Wende
Improving tumble turn performance in swimming
In aller Kürze: Der Einfluss der Kontaktzeit an der Wand und des Tuck-Index (Anziehen der Knie) auf die Wendnzeit wurde untersucht.
Die Kontaktzeit muss so lang gewählt werden, dass die Abstoßkraft maximiert wird und die Streamline Position erreicht wird. Zudem konnte für jede/n Schwimmer/in ein optimaler Tuck-Index errechnet werden.
Folge 94
Brust, Tauchzug
The characteristics of the breaststroke pull-out in elite swimming
In aller Kürze: 3 Varianten des Brust Tauchzugs wurden untersucht. Zwischen den Varianten wurden keine Unterschiede in der finalen Rennleistung fest gestellt. Wohl aber Unterschiede zwischen Männern und Frauen sowie im Verlauf der Wettkampfhöhepunkte von 2015 bis 2019.
Folge 95



Freiwasser, Ernährung
In aller Kürze: Die Aufnhamen von kohlenhydrathaltiger Nahrung während eines 3x30min Testes führt nicht zu einer Verbesserung der Schwimmzeit oder anderer Parameter. Allerdings verbessert sich die Leistung im anschließenden Time-to-exhaustion Test bei 100% VO2 Max. Demzufolge sollte die Aufnahme von Kohlenhydraten einen positiven Einfluss auf das letzte Rennsegment haben.
Folge 92
Koordination, Kraul
The Effect of a Coordinative Training in Young Swimmers Performance
In aller Kürze: Koordinationstraining führte zu einer Verbesserung der Leistung in größerem Umfang als zu einer Verbesserung der koordinativen Fähigkeiten.
Folge 93



Sprint, Kraul
Profiling of elite male junior 50 m freestyle sprinters Understanding the speed-time relationship
In aller Kürze: Es wurden die schnellsten und langsamsten 50m-Krauler der JEM miteinander bezüglicher iherer Rennverläufe, Leistung und Stabilität miteinander verglichen. Die größten Unterschiede finden sich beim Start und Finish, wobei die schnellsten Schwimmer in allen TeilbereichenBestwerte rzielen. Das Pacing ist all-out von Beginn an.
Folge 89
Delphin-Kicks, Tachphase
In aller Kürze: Wie verändert sich die Laktatkonzentration und Herzfrequenz, die Tauchweite, Tauchzeit, Geschwindigkeit und die empfundene Belastung, wenn die Tauchphasen nach der Wende über das gewohnte Maß hinaus verlängert werden?
Weder der Laktatwert, noch die Herzfrequenz zeigen Unterschiede. Die empfundene Belastung steigt siginifikant an.
Folge 91





Sprint, Kraul
The road to 21 seconds: A case report of a 2016 Olympic swimming sprinter
In aller Kürze: Über den Zeitraum von 2,5 Jahren wurde das Training eines 50m Freistilsprinters wissenschaftlich begleitet. Dabei wird auf die Zyklisierung (3 Mesozyklen, ca. 15 Wochen) und die Trainingsinhalte (6-8 Wasser-einheiten, 2-3 Landeinheiten, maximal 4,6km im Wasser) eingegangen. Wettkampfleistung, Krafttraining (verbesserte relative Kraft), Schwimmgeschwindigkeit und Körperbau wurden ebenfalls untersucht.
Zitat: „He also considerably improved his dry-land strength and in-water force levels, likely due to a combination of neural and morphological adaptations.“
Folge 85
Kraul, Technik, Koordination
Changes in Front Crawl Technique Caused by Different Technical Exercises
In aller Kürze: Der Einfluss von 6 Varianten des 1-armigen Schwimmens auf die Bewegungs-ausführung beim Kraulschwimmen wurden untersucht.
Dabei war die Schulterrotatin immer größer als die Hüftrotation und das 1-armige Schwimmen veränderte die Rotation und sorgte für einen erhöhten Widerstand.
Folge 86
Sprint, Stoffwechsel
Sprint Exercise Performance Does Metabolic Power Matter
In aller Kürze: Eine 9-seitige Abhandlung über die Grundlagen des Sprints. Die neuronale Komponente wird ebenso betrachtet wie die Stoffwechselprozesse. Hier wird u.a. erklärt und mit Studien gestützt, dass die Sprintleistung einzig von der Ansteuerung der Muskeln abhängig ist und NICHT von der Bereitstellung von ATP. Das Fazit lautet auch wie folgt: „Entgegen früherer Annahmen, bestimmt NICHT die Rate der Stoffwechselpozesse die Sprint-leistung, sondern einzig die Fähigkeit zur Aktivierung des muskulären Systems.“
Folge 80
Erwärmung, Warm-Up, Sprung, Start
Does jumping conducted before the swimming start elicit underwater enhancement
In aller Kürze: In einem aufwändigen Protokoll haben die Forschenden untersucht, ob sich Sprünge vor dem Wettkampf positiv auf den Start auswirken.
Weder zwischen den Geschlechtern, noch zwischen den Leistungsniveaus gab es Unterschiede. Ebenso konnten keine Effekte (positiv wie negativ) zwischen den Versuchs-gruppen festgestellt werden.
Folge 83
Psyche, Ausdauer
In aller Kürze: Der bestimmende physiologische Faktor für die Ausdauerleistung ist die VO2max, zusätzlich spielen jedoch auch psychologische Faktoren eine entscheidende Rolle. So zeigten die Forschenden, dass v.a. der Faktor „Beharrlichkeit“ einen positiven Einfluss auf die Endleistung hat. Dem gegenüber hatte die Nutzung von Entspannungstechniken einen negativen Einfluss auf die Leistung.
Folge 78
Stoffwechsel, Kraul, Sprint
Dynamics of the metabolic response during a competitive 100-m freestyle in elite male swimmers
In aller Kürze: Die Forschenden untersuchen die Anteile der Energiegewinnung am Gesamt-energieumsatz bei einem 100m Kraul Sprint. Hierbei unterscheiden sich die Senioren von den Junioren in der Gesamtmenge der Energiebereit-stellung, und hier in den Anteilen der anaeroben Prozesse mit und ohne Laktatbildung.
Das bedeutet: mit zunehmenden Alter wird die anaeroben Energiegewinnung immer wichtiger.
Folge 79

